Trimethobenzamide
Clinical data
Trade namesTigan, Tebamide
AHFS/Drugs.comMonograph
MedlinePlusa682693
Routes of
administration
Oral, rectal, intramuscular
ATC code
Legal status
Legal status
Pharmacokinetic data
Bioavailability60-100%
Elimination half-life7 to 9 hours (mean)
Excretionurine (30-50%), faeces
Identifiers
  • N-{[4-(2-dimethylaminoethoxy)phenyl]methyl}-
    3,4,5-trimethoxy-benzamide
CAS Number
PubChem CID
IUPHAR/BPS
DrugBank
ChemSpider
UNII
ChEBI
ChEMBL
CompTox Dashboard (EPA)
ECHA InfoCard100.004.848
Chemical and physical data
FormulaC21H28N2O5
Molar mass388.464 g·mol−1
3D model (JSmol)
  • O=C(c1cc(OC)c(OC)c(OC)c1)NCc2ccc(OCCN(C)C)cc2
  • InChI=1S/C21H28N2O5/c1-23(2)10-11-28-17-8-6-15(7-9-17)14-22-21(24)16-12-18(25-3)20(27-5)19(13-16)26-4/h6-9,12-13H,10-11,14H2,1-5H3,(H,22,24) checkY
  • Key:FEZBIKUBAYAZIU-UHFFFAOYSA-N checkY
 ☒NcheckY (what is this?)  (verify)

Trimethobenzamide (trade names Tebamide, Tigan) is an antiemetic used to prevent nausea and vomiting.

Mechanism of action

Trimethobenzamide is an antagonist of the D2 receptor.[1] It is believed to affect the chemoreceptor trigger zone (CTZ) of the medulla oblongata to suppress nausea and vomiting.

Side effects

Possible side effects include drowsiness, dizziness, headache, muscle cramps, and blurred vision. More serious adverse effects include skin rash, tremors, parkinsonism, and jaundice.

Formulations

Trimethobenzamide is marketed under the brand names Tebamide and Tigan, manufactured by GlaxoSmithKline and King Pharmaceuticals, respectively. It is available as oral capsules and injectable formulations.

Trimethobenzamide was also available as a rectal suppository, but such formulations were banned by the U.S. Food and Drug Administration on April 6, 2007, due to unproven efficacy.[2]

Synthesis

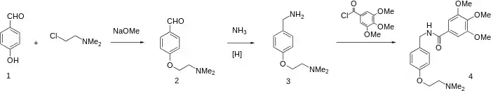
Trimethobenzamide synthesis: Hoffmann La Roche, U.S. Patent 2,879,293 (1959).

Alkylation of the sodium salt of p-hydroxybenzaldehyde (1) with 2-dimethylaminoethyl chloride affords the ether (2). Reductive amination of the aldehyde in the presence of ammonia gives diamine (3). Acylation of that product with 3,4,5-trimethoxybenzoyl chloride affords trimethobenzamide (4).

See also

References

  1. Smith HS, Cox LR, Smith BR (2012). "Dopamine receptor antagonists". Ann Palliat Med. 1 (2): 137–42. doi:10.3978/j.issn.2224-5820.2012.07.09. PMID 25841474.
  2. Waknine, Yael (April 6, 2007). "FDA Bans Suppositories With Trimethobenzamide". Medscape. Retrieved 2007-04-06.
This article is issued from Wikipedia. The text is licensed under Creative Commons - Attribution - Sharealike. Additional terms may apply for the media files.