
A leapfrog filter is a type of active circuit electronic filter that simulates a passive electronic ladder filter. Other names for this type of filter are active-ladder or multiple feedback filter.[1]: 286 The arrangement of feedback loops in the signal flow-graph of the simulated ladder filter inspired the name leapfrog filter, which was coined by Girling and Good.[2]: 344 The leapfrog filter maintains the low component sensitivity of the passive ladder filter that it simulates. [lower-alpha 1]: 291
Synthesis

The definition and synthesis of leapfrog filters is described by Temes & LaPatra,[1]: 281–291 Sedra & Brackett,[3][lower-alpha 2]: 713 Chen[4] and Wait, Huelsman & Korn.[5]
Synthesis of leapfrog filters typically includes the following steps:
- Determine a prototype passive ladder filter that has the desired frequency response. Usually a doubly terminated prototype is used.
- Write the equations relating element current to voltage across the element in a form suitable for expression as a signal-flow graph.
- Draw the signal-flow graph. The nodes of the signal-flow graph will include both voltages and currents. The branch gains will include impedances and admittances.
- Convert all nodes of the signal-flow graph to voltages and all impedances to dimensionless transmittances. This is accomplished by dividing all impedance elements by R, an arbitrary resistance and multiplying all admittance elements by R. This scaling does not change the frequency response.
- Manipulate the signal-flow graph so that the gains feeding each summing node have the same signs. This is done as an implementation convenience. At the completion of this step, typically, all the feedback gains in the signal-flow graph will be +1 and the signs of the gain blocks in the forward path will alternate. As a result, some of the nodes, including the main output, may have a 180° phase inversion. This is usually of no consequence.[4]: 2445
- The gain blocks are implemented with active filters and interconnected as indicated by the signal-flow graph. Often, state variable filters are used for the gain blocks.
- The final circuit usually has more components than the prototype passive filter. This means the final circuit has degrees of freedom which can be chosen to optimize the circuit for dynamic range[4]: 2449 and for practical component values.
Examples
Generic filter


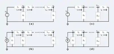
The design starts out with a known ladder filter of one of the typologies shown in the previous figure. Usually, all the elements of the ladder filter are lossless except the first and the last which are lossy.[4]: 2442 Using a four element voltage input, voltage output ladder filter[lower-alpha 3] as an example, the equations that relate the element voltages and currents are as follows:
The signal-flow graph for these equations are shown in the second figure to the right. The arrangement of feedback loops in the signal flow-graph inspired the name leapfrog filter.[1]: 286 The signal flow graph is manipulated to convert all current nodes into voltage nodes and all the impedances and admittances into dimensionless transmittances. This is equivalent to manipulating the equations either by multiplying both sides by R or by multiplying one side by R/R and distributing the R terms across the subtraction operation. This manipulation changes the equations as follows:
- where H1 = RY1, H2 = GZ2, H3 = RY3, H4 = GZ4, G = 1/R, V1 = RI1, V3 = RI3
The signal flow graph is further manipulated so that the gains into each summing node is +1. The result of all the manipulation is shown as the bottom signal-flow graph in the figure. The equations represented by the resulting signal flow graph are as follows:
The awkward annotation of -V1 and -V2 as labels of nodes in the signal flow graph indicates that these nodes present a 180° phase inversion with respect to the signals in the prototype filter.
This manipulation is can be accomplished by a simple procedure:
- Make all the odd numbered or all the even numbered transmittances negative. The overall phase shift with respect to the prototype will be 0° if the total number of inversions is even.
- Change all feedback gains to +1.
- Determine the sign of each node label by counting the number of inversions to that node from the input. If the number of inversions is odd, then the node label is negative.
The signal-flow graph is suitable for implementation. State variable filters that are available in both inverting and non-inverting typologies are often used.
Band pass filter

Passive circuit
The circuit for a band pass, passive ladder filter is first determined.
The individual components in parallel or series can be combined into general impedances or admittances. For this schematic:

Signal-flow graph
The current and voltage variables can be put into cause and effect relationships as follows.
A signal flow graph for these equations is shown to the right.
Scaled signal-flow graph
For implementation reasons, the current variables may be multiplied by an arbitrary resistance to convert them into voltage variables which also converts all gains to dimensionless values. In this example all currents are multiplied by R. This is accomplished by either multiplying both sides of an equation by R of by multiplying one side by R/R and then distributing the R term over the currents.

Manipulated signal-flow graph
It is convenient for implementation if the gains feeding the summing nodes all have the same sign. In that case, summation can be achieved with a junction of two resisters.

Implementation

All the transmittances H1 - H4, in this example, are bandpass filters. They can be implemented with the modified Tow-Thomas active biquad filter. This biquad has both positive and negative bandpass outputs so that it can realize any of the transmittances. This biquad also has summing inputs so it can also implement the summing nodes.[5]: 275, 302
Tuning
A leapfrog filter can be difficult to tune because of the complicated feedback. One strategy is to open the feedback loops so that the remaining filter structure is a simple cascade design. Each section can then be tuned independently. The inner sections, H2 and H3 have infinite Q and may be unstable when the feedback loops are opened. These stages may be designed with a large, but finite Q so that they can be tuned while the feedback loops are open.
Notes
References
- 1 2 3 4 5 Temes, Gabor C.; LaPatra, Jack W. (1977). Circuit Synthesis and Design. McGraw-Hill. ISBN 0-07-063489-0.
- ↑ Girling, F. E. J.; Good, E. F. (July 1970). "Active Filters 12. The Leapfrog or Active-Ladder Synthesis". Wireless World. pp. 341–345.
- 1 2 Sedra, Adel S.; Brackett, Peter O. (1978). Filter Theory And Design: Active and Passive. Matrix Publishers, Inc. pp. 709–731. ISBN 0-916460-14-2.
- 1 2 3 4 Chen, Wai-Kai (1995). The Circuits and Filters Handbook. CRC Press. pp. 622–638, 2442–2459. ISBN 0-8493-8341-2.
- 1 2 Wait, John V.; Huelsman, Lawrence P.; Korn, Granino A. (1992). Introduction to Operational Amplifier Theory and Applications (2nd ed.). McGraw-Hill. pp. 295–303. ISBN 0-07-067770-0.