Imolamine
Skeletal formula
Space-filling model
Clinical data
Trade namesAngolon, Angoril, Circuline, Irri-Cor, Irrigor, Coremax
ATC code
Identifiers
  • Diethyl[2-(5-imino-3-phenyl-4,5-dihydro-1,2,4-oxadiazol-4-yl)ethyl]amine
CAS Number
PubChem CID
DrugBank
ChemSpider
UNII
KEGG
ChEMBL
ECHA InfoCard100.005.699
Chemical and physical data
FormulaC14H20N4O
Molar mass260.341 g·mol−1
3D model (JSmol)
  • CCN(CC)CCN2C(=N)O\N=C2\c1ccccc1
  • InChI=1S/C14H20N4O/c1-3-17(4-2)10-11-18-13(16-19-14(18)15)12-8-6-5-7-9-12/h5-9,15H,3-4,10-11H2,1-2H3 ☒N
  • Key:MGSPDRWOUCPKNZ-UHFFFAOYSA-N ☒N
 ☒NcheckY (what is this?)  (verify)

Imolamine (INN, BAN; brand names Angolon, Angoril, Circuline, Irri-Cor, Irrigor, Coremax) is a coronary vasodilator which is used in the treatment of angina pectoris and as a local anesthetic.[1][2]

Use patents:[3][4]

Synthesis

Butalamine has very similar synthesis but is alkylated on the alternate nitrogen position.

Thieme Patent[5]

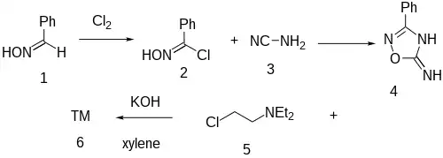
The reaction of benzoylchloride oxime [698-16-8] (2) with Cyanamide (3) gives 3-Phenyl-1,2,4-oxadiazol-5-amine [3663-37-4] (4). Alkylation with 2-chlorotriethylamine [100-35-6] (5) in the presence of KOH base occurs at the endocyclic ring nitrogen completing the synthesis of imolamine (6).

EFforts towards Onepot method (section 2.5 & 2.6).

References

  1. Index Nominum 2000: International Drug Directory. Taylor & Francis. January 2000. pp. 547–. ISBN 978-3-88763-075-1.
  2. Elks J (14 November 2014). The Dictionary of Drugs: Chemical Data: Chemical Data, Structures and Bibliographies. Springer. pp. 680–. ISBN 978-1-4757-2085-3.
  3. Anne Rolland, EP 0191253 (1986 to Laboratoires Albert Rolland SA).
  4. Anne Rolland, FR 2576789 (1986 to Laboratoires Albert Rolland SA).
  5. FR2023M idem J M D Aron-Samuel & J J Sterne, GB 1010231 (1965-11-17).



This article is issued from Wikipedia. The text is licensed under Creative Commons - Attribution - Sharealike. Additional terms may apply for the media files.