Ciramadol
Clinical data
Other namesCiramadol, WY-15705
Routes of
administration
Oral
ATC code
  • none
Identifiers
  • 3-{(R)-Dimethylamino-[(1R,2R)-2-hydroxycyclohexyl]}methyl]phenol
CAS Number
PubChem CID
ChemSpider
UNII
KEGG
ChEMBL
Chemical and physical data
FormulaC15H23NO2
Molar mass249.354 g·mol−1
3D model (JSmol)
  • OC1=CC=CC([C@@H]([C@H]2CCCC[C@H]2O)N(C)C)=C1
  • InChI=1S/C15H23NO2/c1-16(2)15(11-6-5-7-12(17)10-11)13-8-3-4-9-14(13)18/h5-7,10,13-15,17-18H,3-4,8-9H2,1-2H3/t13-,14+,15-/m0/s1 checkY
  • Key:UVTLONZTPXCUPU-ZNMIVQPWSA-N checkY
  (verify)

Ciramadol (WY-15,705) is an opioid analgesic that was developed in the late 1970s[1] and is related to phencyclidine, tramadol, tapentadol and venlafaxine.[2] It is a mixed agonist-antagonist for the μ-opioid receptor with relatively low abuse potential[3] and a ceiling on respiratory depression[4] which makes it a relatively safe drug. It has a slightly higher potency and effectiveness as an analgesic than codeine,[5] but is weaker than morphine.[6] Other side effects include sedation and nausea but these are generally less severe than with other similar drugs.[7]

Synthesis

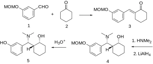
Ciramadol synthesis:[8][9] Patents:[10][11][12]

The Claisen-Schmidt condensation between 3-(methoxymethoxy)benzaldehyde [13709-05-2] (1) and cyclohexanone (2) afforded CID:54364197 (3). Michael addition of dimethylamine leads the aminoketone, i.e. 2-[dimethylamino-[3-(methoxymethoxy)phenyl]methyl]cyclohexan-1-one, CID21518320. Reduction of the ketone proceeds stereospecifically to afford the cis aminoalcohol [51356-58-2] (4). Mild hydrolysis of the product gives the free phenol ciramadol (5).

See also

References

  1. US 3928626, "Benzylamine Analgesics"
  2. Cochrane AD, Bell R, Sullivan JR, Shaw J (November 1979). "Ciramadol. A new analgesic". The Medical Journal of Australia. 2 (9): 501–2. doi:10.5694/j.1326-5377.1979.tb125803.x. PMID 522808.
  3. Preston KL, Bigelow GE, Liebson IA (March 1987). "Comparative evaluation of morphine, pentazocine and ciramadol in postaddicts". The Journal of Pharmacology and Experimental Therapeutics. 240 (3): 900–10. PMID 3559982.
  4. Romagnoli A, Keats AS (1986). "Low ceiling respiratory depression by ciramadol". International Journal of Clinical Pharmacology Research. 6 (6): 451–5. PMID 3100462.
  5. Downing JW, Brock-Utne JG, Holloway AM (December 1983). "Ciramadol--a new synthetic analgesic. A double-blind comparison with oral codeine for postoperative pain relief". South African Medical Journal = Suid-Afrikaanse Tydskrif vir Geneeskunde. 64 (25): 978–82. PMID 6359486.
  6. Powell WF (November 1985). "A double-blind comparison of multiple intramuscular doses of ciramadol, morphine, and placebo for the treatment of postoperative pain". Anesthesia and Analgesia. 64 (11): 1101–7. doi:10.1213/00000539-198511000-00012. PMID 3901821.
  7. Stambaugh JE, McAdams J (February 1987). "Comparison of the analgesic efficacy and safety oral ciramadol, codeine, and placebo in patients with chronic cancer pain". Journal of Clinical Pharmacology. 27 (2): 162–6. doi:10.1002/j.1552-4604.1987.tb02178.x. PMID 3680568. S2CID 21229861.
  8. Yardley, J. P.; Fletcher, H.; Russell, P. B. (1978). "A potent benzylamine analgesic:(−)cis-2(α-dimethylamino-m-hydroxybenzyl)cyclohexanol". Experientia 34(9): 1124–1125. doi:10.1007/BF01922905.
  9. Paton, D.M.; Castaner, J.; Ciramadol. Drugs Fut 1980, 5, 6, 283.
  10. Peter B Russell, John P Yardley, U.S. Patent 3,928,626, U.S. Patent 4,017,637 (1975 and 1977 to American Home Products Corporation).
  11. John Patrick Yardley, Peter Byrom Russell, DE 2317183 (1986 to American Home Prod).
  12. John P. Yardley & Peter B. Russell, U.S. Patent 4,155,935 (1979 to Wyeth LLC).


This article is issued from Wikipedia. The text is licensed under Creative Commons - Attribution - Sharealike. Additional terms may apply for the media files.