In mathematics, an Euler–Cauchy equation, or Cauchy–Euler equation, or simply Euler's equation is a linear homogeneous ordinary differential equation with variable coefficients. It is sometimes referred to as an equidimensional equation. Because of its particularly simple equidimensional structure, the differential equation can be solved explicitly.

The equation

Let y(n)(x) be the nth derivative of the unknown function y(x). Then a Cauchy–Euler equation of order n has the form

The substitution (that is, ; for , one might replace all instances of by , which extends the solution's domain to ) may be used to reduce this equation to a linear differential equation with constant coefficients. Alternatively, the trial solution may be used to directly solve for the basic solutions.[1]

Second order – solving through trial solution

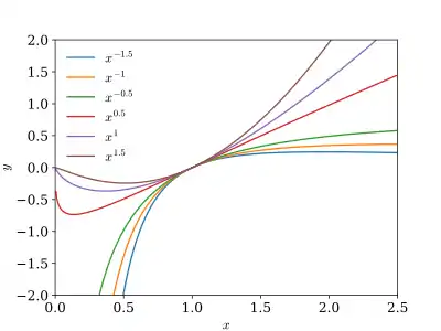
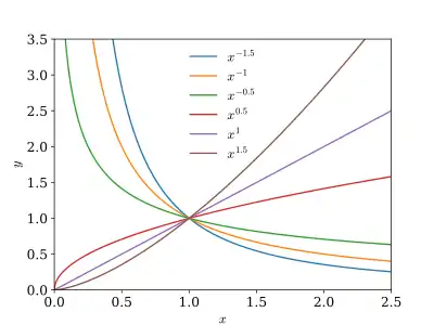
Typical solution curves for a second-order Euler–Cauchy equation for the case of two real roots
Typical solution curves for a second-order Euler–Cauchy equation for the case of a double root
Typical solution curves for a second-order Euler–Cauchy equation for the case of complex roots

The most common Cauchy–Euler equation is the second-order equation, appearing in a number of physics and engineering applications, such as when solving Laplace's equation in polar coordinates. The second order Cauchy–Euler equation is[1][2]

We assume a trial solution[1]

Differentiating gives

and

Substituting into the original equation leads to requiring

Rearranging and factoring gives the indicial equation

We then solve for m. There are three particular cases of interest:

  • Case 1 of two distinct roots, m1 and m2;
  • Case 2 of one real repeated root, m;
  • Case 3 of complex roots, α ± βi.

In case 1, the solution is

In case 2, the solution is

To get to this solution, the method of reduction of order must be applied after having found one solution y = xm.

In case 3, the solution is

For .

This form of the solution is derived by setting x = et and using Euler's formula

Second order – solution through change of variables

We operate the variable substitution defined by

Differentiating gives

Substituting the differential equation becomes

This equation in is solved via its characteristic polynomial

Now let and denote the two roots of this polynomial. We analyze the case where there are distinct roots and the case where there is a repeated root:

If the roots are distinct, the general solution is

where the exponentials may be complex. If the roots are equal, the general solution is

In both cases, the solution may be found by setting .

Hence, in the first case,

and in the second case,

Example

Given

we substitute the simple solution xm:

For xm to be a solution, either x = 0, which gives the trivial solution, or the coefficient of xm is zero. Solving the quadratic equation, we get m = 1, 3. The general solution is therefore

Difference equation analogue

There is a difference equation analogue to the Cauchy–Euler equation. For a fixed m > 0, define the sequence fm(n) as

Applying the difference operator to , we find that

If we do this k times, we find that

where the superscript (k) denotes applying the difference operator k times. Comparing this to the fact that the k-th derivative of xm equals

suggests that we can solve the N-th order difference equation

in a similar manner to the differential equation case. Indeed, substituting the trial solution

brings us to the same situation as the differential equation case,

One may now proceed as in the differential equation case, since the general solution of an N-th order linear difference equation is also the linear combination of N linearly independent solutions. Applying reduction of order in case of a multiple root m1 will yield expressions involving a discrete version of ln,

(Compare with: )

In cases where fractions become involved, one may use

instead (or simply use it in all cases), which coincides with the definition before for integer m.

See also

References

  1. 1 2 3 Kreyszig, Erwin (May 10, 2006). Advanced Engineering Mathematics. Wiley. ISBN 978-0-470-08484-7.
  2. Boyce, William E.; DiPrima, Richard C. (2012). Rosatone, Laurie (ed.). Elementary Differential Equations and Boundary Value Problems (10th ed.). pp. 272–273. ISBN 978-0-470-45831-0.

Bibliography

This article is issued from Wikipedia. The text is licensed under Creative Commons - Attribution - Sharealike. Additional terms may apply for the media files.