The [4+4] Photocycloaddition is a cycloaddition reaction in which two unsaturated molecules connect via four atoms from each molecule (hence "4 + 4") to create an eight-membered ring. As a photochemical reaction, it is promoted by some form of light, as opposed to a thermal process.

Introduction

The earliest example of a [4+4] photocycloaddition was the photodimerization of anthracene, discovered in 1936.[1] This reaction has remained one of the most reliable photocycloadditions and is the basis of continuing investigation.[2]

Anthracene photodimerization
Anthracene photodimerization

Other polycyclic aromatics undergo anthracene-like photocycloaddition, such as acridizinium salts. Biologically active natural products include pleuromutilin, kalmanol, crenulide, and longipenol.

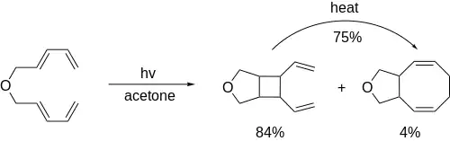
[4+4] photocycloaddition approaches to the creation of cyclooctanoid systems offer several appealing features, including convergent assembly of the eight-membered ring from two relatively simpler four-carbon fragments, formation of two new carbon-carbon bonds, and the potential for introduction of up to four new stereocenters in one step.[3]

Mechanism and stereochemistry

Prevailing mechanism

[4+4] reactions are forbidden in the ground state and often entropically disfavored in the excited state.[4] The mechanism of the [4+4] photocycloaddition is proposed to begin with the photoexcitation of a 1,3-diene system into the excited state. Because the orbital symmetry of the highest occupied molecular orbital (HOMO) in the excited diene is the same as that of the lowest unoccupied molecular orbital (LUMO) in another ground state diene, they are able to form an exciplex that decays to form the closed cyclooctane ring structure. Below is a Frontier Molecular Orbital diagram depicting the interaction between the two molecules of dienes.

FMO Orbital Theory depiction of a 4+4 photocycloaddition.
FMO Orbital Theory depiction of a 4+4 photocycloaddition.

Stereochemistry

Stereochemical control within [4+4] reactions is not common, however it does exist. Enol-exo stereoselectivity is possible using certain cross-linking techniques and has been met with moderate success.[5]

English: 4-mesyloxypyran-2-ones with pendent furans occurred with high exo selectivity, displaying stereochemical control exists in 4+4 photocycloaddition reactions.
English: 4-mesyloxypyran-2-ones with pendent furans occurred with high exo selectivity, displaying stereochemical control exists in 4+4 photocycloaddition reactions.

Control over the configuration at newly established bridgehead centers by use of preexisting stereocenters has been largely unsuccessful, apart from one specialized example.[6]

Synthetic applications

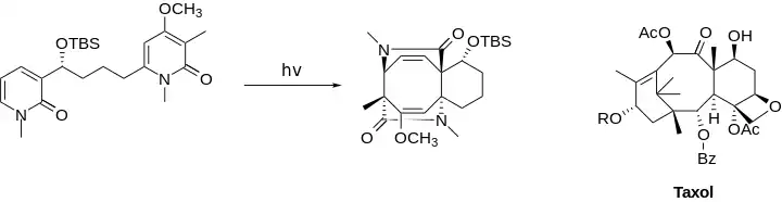
Application of the [4+4] photocycloaddition is scarce because of competition with the [2+2] cycloaddition. However, when accessible, this method can be used to build 8-membered ring with complex stereocenters and structures in one step, as is seen in proposed syntheses for Taxol[7] and molecules of the fusicoccin family.[8] Additionally, while this reaction first forms fused rings, subsequent cleavages can afford macrocycles.[9]

Forming the BC rings of Taxol
Forming the BC rings of Taxol

In this partial synthesis of the BC rings of Taxol, the framework buildup utilized an intramolecule [4+4] photocycloaddition of a relatively linear and simple 2-pyridone derivative, folding it into the desired fused rings with correct stereochemistry at C3, C8, and C15 (compare with Taxol on the right) and two double bonds on the B ring ready to accept trans-addition. Consequent lactam-ring opening and functionalization were expected to give Taxol.

Wrong isomer
Wrong isomer

Similarly, molecules of the fusicoccin family, featuring 5-8-5 ring systems, could be constructed rapidly using this reaction. Although the high stereoselectivity of this reaction to form trans-isomers made it unsuitable for the specific target molecules, the general ease to create the four tertiary chiral centers is still noteworthy.

Creating an eleven-membered ring by reduction of 8+5 fused rings
Creating an eleven-membered ring by reduction of 8+5 fused rings

Use of [4+4] photocycloaddition need not be limited to the creation of 8-membered rings. By linking up a network of rings and then breaking the shared bonds, a single macrocycle with built-in stereocenters could be achieved.

Limitations

Inevitably, [4+4] photocycloadditions carry the side reaction of [2+2] photocycloadditions. However, since these reactions are reversible, the most stable product may be formed through thermodynamic control.[10]

A 4+4 cycloaddition occurring over two 2+2 cycloaddition steps.
A 4+4 cycloaddition occurring over two 2+2 cycloaddition steps.

See also

References

  1. Fieser, Louis F.; Lothrop, Warren C. (1936). "The Structure of Anthracene". J. Am. Chem. Soc. 58 (5): 749–753. doi:10.1021/ja01296a016.
  2. Heiko, I.; Luo, J. (2008). "The reversible [4 + 4] photocycloaddition of acridizinium derivatives". J. Photochem. Photobiol. A. 200: 3–9. doi:10.1016/j.jphotochem.2008.04.008.
  3. Zhu, M.; Qiu, Z.; Hiel, G.; Sieburth, S. (2002). "Photocycloaddition of Four-Carbon-Tethered Pyridones. Intramolecular Hydrogen Bonding and Facilitated Amide Hydrolysis by a Proximal Secondary Alcohol". J. Org. Chem. 67 (10): 3487–3493. doi:10.1021/jo025565n. PMID 12003564.
  4. Wender, P.; Smith, T. (1998). "Transition Metal-Catalyzed Intramolecular [4+2] Cycloadditions: Mechanistic and Synthetic Investigations". Tetrahedron. 54 (7): 1255–1275. doi:10.1016/S0040-4020(97)10223-X.
  5. Lei, L.; Benderb, J.; West F. G. (2009). "Diastereocontrol in [4+4]-photocycloadditions of pyran-2-ones: effect of ring substituents and chiral ketal". Tetrahedron Lett. 50 (11): 1188–1192. doi:10.1016/j.tetlet.2008.12.117.
  6. Song, D.; McDonald, R.; West, F. G. (2006). "Diastereoselective [4 + 4]-photocycloaddition reactions of pyran-2-ones: rapid access to functionalized 5-8-5 skeletons". Org. Lett. 8 (18): 4075–4078. doi:10.1021/ol061576h. PMID 16928077.
  7. Lee, Y.-G.; McGee, K. F.; Chen, J.; Rucando, D.; Sieburth, S. McN. (2000). "A [4 + 4] 2-Pyridone Approach to Taxol. 3. Stereocontrol during Elaboration of the Cyclooctane". J. Org. Chem. 65 (20): 6676–6681. doi:10.1021/jo005532c. PMID 11052118.
  8. McGee, K. F.; Al-Tel, T. H.; Sieburth, S. McN. (2001). "Fusicoccin Synthesis by Intramolecular [4+4] Photocycloaddition of 2-Pyridones: Stereocontrol of the Cycloaddition and Elaboration of the Pentacyclic Product". Synthesis. 112 (8): 1185–1196. doi:10.1055/s-2001-15066. S2CID 95258628.
  9. Sieburth, S. McN.; Al-Tel, T. H.; Rucando, D. (1997). "Beyond the medium ring: A [4 + 4] Cycloaddition/Fragmentation Synthesis of Eleven-membered Rings". Tetrahedron Lett. 38 (49): 8433–8434. doi:10.1016/S0040-4039(97)10272-6.
  10. Sieburth, S. McN.; Cunard, N. T. (1996). "The [4 + 4] cycloaddition and its strategic application in natural product synthesis". Tetrahedron. 52 (18): 6251–6282. doi:10.1016/0040-4020(95)01077-7.
This article is issued from Wikipedia. The text is licensed under Creative Commons - Attribution - Sharealike. Additional terms may apply for the media files.