
In number theory, Firoozbakht's conjecture (or the Firoozbakht conjecture[1][2]) is a conjecture about the distribution of prime numbers. It is named after the Iranian mathematician Farideh Firoozbakht who stated it first in 1982.
The conjecture states that (where is the nth prime) is a strictly decreasing function of n, i.e.,
Equivalently:
see OEIS: A182134, OEIS: A246782.
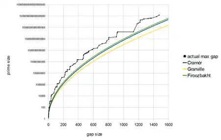
By using a table of maximal gaps, Farideh Firoozbakht verified her conjecture up to 4.444×1012.[2] Now with more extensive tables of maximal gaps, the conjecture has been verified for all primes below 264 ≈ 1.84×1019.[3][4]
If the conjecture were true, then the prime gap function would satisfy:[5]
Moreover:[6]
see also OEIS: A111943. This is among the strongest upper bounds conjectured for prime gaps, even somewhat stronger than the Cramér and Shanks conjectures.[4] It implies a strong form of Cramér's conjecture and is hence inconsistent with the heuristics of Granville and Pintz[7][8][9] and of Maier[10][11] which suggest that
occurs infinitely often for any where denotes the Euler–Mascheroni constant.
Two related conjectures (see the comments of OEIS: A182514) are
which is weaker, and
which is stronger.
See also
Notes
- ↑ Ribenboim, Paulo (2004). The Little Book of Bigger Primes Second Edition. Springer-Verlag. p. 185. ISBN 9780387201696.
- 1 2 Rivera, Carlos. "Conjecture 30. The Firoozbakht Conjecture". Retrieved 22 August 2012.
- ↑ Gaps between consecutive primes
- 1 2 Kourbatov, Alexei. "Prime Gaps: Firoozbakht Conjecture".
- ↑ Sinha, Nilotpal Kanti (2010), "On a new property of primes that leads to a generalization of Cramer's conjecture", arXiv:1010.1399 [math.NT].
- ↑ Kourbatov, Alexei (2015), "Upper bounds for prime gaps related to Firoozbakht's conjecture", Journal of Integer Sequences, 18 (Article 15.11.2), arXiv:1506.03042, MR 3436186, Zbl 1390.11105.
- ↑ Granville, A. (1995), "Harald Cramér and the distribution of prime numbers" (PDF), Scandinavian Actuarial Journal, 1: 12–28, doi:10.1080/03461238.1995.10413946, MR 1349149, Zbl 0833.01018, archived from the original (PDF) on 2016-05-02.
- ↑ Granville, Andrew (1995), "Unexpected irregularities in the distribution of prime numbers" (PDF), Proceedings of the International Congress of Mathematicians, 1: 388–399, doi:10.1007/978-3-0348-9078-6_32, ISBN 978-3-0348-9897-3, Zbl 0843.11043.
- ↑ Pintz, János (2007), "Cramér vs. Cramér: On Cramér's probabilistic model for primes", Funct. Approx. Comment. Math., 37 (2): 232–471, doi:10.7169/facm/1229619660, MR 2363833, S2CID 120236707, Zbl 1226.11096
- ↑ Leonard Adleman and Kevin McCurley, "Open Problems in Number Theoretic Complexity, II" (PS), Algorithmic number theory (Ithaca, NY, 1994), Lecture Notes in Comput. Sci. 877: 291–322, Springer, Berlin, 1994. doi:10.1007/3-540-58691-1_70. ISBN 978-3-540-58691-3.
- ↑ Maier, Helmut (1985), "Primes in short intervals", The Michigan Mathematical Journal, 32 (2): 221–225, doi:10.1307/mmj/1029003189, ISSN 0026-2285, MR 0783576, Zbl 0569.10023
References
- Ribenboim, Paulo (2004). The Little Book of Bigger Primes Second Edition. Springer-Verlag. ISBN 0-387-20169-6.
- Riesel, Hans (1985). Prime Numbers and Computer Methods for Factorization, Second Edition. Birkhauser. ISBN 3-7643-3291-3.
